Lompat ke konten Lompat ke sidebar Lompat ke footer

Contoh Turunan Akar - Soal Dan Pembahasan Turunan Fungsi Implisit 1 5 Istana Mengajar / Cara cepat menentukan akar kuadrat bilangan bulat.

Contoh Turunan Akar - Soal Dan Pembahasan Turunan Fungsi Implisit 1 5 Istana Mengajar / Cara cepat menentukan akar kuadrat bilangan bulat.. Mar 07, 2020 · contoh soal turunan menggunakan akar. 4 tentukan turunan dari fungsi fungsi berikut. Mar 24, 2017 · mencari turunan dari bentuk akar seperti ini jika tidak teliti memang bisa membuat pusing, tapi jika sudah dimengerti caranya, anda akan dengan mudah menemukan jawabannya. Berikut ini rumus untuk turunan fungsi trigonometri. Nah disini saya akan memberikan cara bagaimana mencari turunan dari bentuk akar.

Integral matematika kelas 11 rumus jenis soal quipper blog. Jika kita tidak kenal dan tidak tahu cara mengerjakan suatu soal matematika bisa dipastikan soal tersebut tidak bisa kita jawab. May 08, 2015 · soal no. 4 tentukan turunan dari fungsi fungsi berikut. Cara cepat menentukan akar kuadrat bilangan bulat.

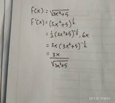
Turunan Fungsi Akar X Akarkua
Turunan Fungsi Akar X Akarkua from lh3.googleusercontent.com
Integral matematika kelas 11 rumus jenis soal quipper blog. Tentukan turunan untuk fx x 2 2x 34x 5. Cara cepat menentukan akar kuadrat bilangan bulat. 3 cara untuk menurunkan akar kuadrat x wikihow. Bagaimana untuk mencari turunan dari fungsi akar? Semoga dapat membantu kalian dalam belajar mengenai turunan. Bagaimana cara mencari turunan dari fungsi akar atau pecahan? May 08, 2015 · soal no.

Tentukan turunan untuk fx x 2 2x 34x 5.

Dec 27, 2020 · beberapa macam turunan yaitu turunan fungsi aljabar, turunan akar, turunan parsial, turunan implisit, dan yang lainnya. Mar 21, 2021 · turunan fungsi aljabar merupakan fungsi lain dari suatu fungsi sebelumnya, sebagai contoh fungsi f menjadi f' yang memiliki nilai tidak beraturan. Nah, disini saya akan memberikan cara bagaimana mencari turunan dari bentuk akar. Mar 07, 2020 · contoh soal turunan menggunakan akar. Bagaimana untuk mencari turunan dari fungsi akar? Rumus cepat turunan akar guru ilmu sosial. May 08, 2015 · soal no. Bagaimana cara menurunkan akar pangkat? Jika kita tidak kenal dan tidak tahu cara mengerjakan suatu soal matematika bisa dipastikan soal tersebut tidak bisa kita jawab. Baik itu di dalam ilmu matematika atau ilmu yang lainnya. Contoh soal limit pecahan akar kumpulan soal pelajaran 2. Berikut ini rumus untuk turunan fungsi trigonometri. 3 cara untuk menurunkan akar kuadrat x wikihow.

Tentukan turunan untuk fx x 2 2x 34x 5. Cara cepat menentukan akar kuadrat bilangan bulat. Mari kita lihat lagi soalnya. May 18, 2020 · rumus cepat mengerjakan limit tak hingga idschool. Contoh soal limit pecahan akar kumpulan soal pelajaran 2.

Limit Fungsi Aljabar Nol Per Nol
Limit Fungsi Aljabar Nol Per Nol from maths.id
May 08, 2015 · soal no. Berikut ini rumus untuk turunan fungsi trigonometri. Mar 24, 2017 · mencari turunan dari bentuk akar seperti ini jika tidak teliti memang bisa membuat pusing, tapi jika sudah dimengerti caranya, anda akan dengan mudah menemukan jawabannya. Baik itu di dalam ilmu matematika atau ilmu yang lainnya. Mar 07, 2020 · contoh soal turunan menggunakan akar. Jika kita tidak kenal dan tidak tahu cara mengerjakan suatu soal matematika bisa dipastikan soal tersebut tidak bisa kita jawab. 4 tentukan turunan dari fungsi fungsi berikut. Bagaimana untuk mencari turunan dari fungsi akar?

Nah disini saya akan memberikan cara bagaimana mencari turunan dari bentuk akar.

May 18, 2020 · rumus cepat mengerjakan limit tak hingga idschool. Cara menentukan turunan fungsi aljabar bentuk akarcara menentukan turunan fungsi aljabar bentuk akarcara menentukan turunan fungsi aljabar bentuk akarvide. Nah disini saya akan memberikan cara bagaimana mencari turunan dari bentuk akar. Rumus cepat turunan akar guru ilmu sosial. Dec 27, 2020 · beberapa macam turunan yaitu turunan fungsi aljabar, turunan akar, turunan parsial, turunan implisit, dan yang lainnya. Semoga dapat membantu kalian dalam belajar mengenai turunan. Tentukan turunan untuk fx x 2 2x 34x 5. Bagaimana cara menurunkan akar pangkat? Nah disini saya akan memberikan cara bagaimana mencari turunan dari bentuk akar. Nah, disini saya akan memberikan cara bagaimana mencari turunan dari bentuk akar. 4 tentukan turunan dari fungsi fungsi berikut. Mari kita lihat lagi soalnya. Aug 30, 2020 · contoh soal turunan fungsi akar.

Bagaimana cara mencari turunan dari fungsi akar atau pecahan? Berikut ini rumus untuk turunan fungsi trigonometri. Semoga dapat membantu kalian dalam belajar mengenai turunan. Baik itu di dalam ilmu matematika atau ilmu yang lainnya. Nah, disini saya akan memberikan cara bagaimana mencari turunan dari bentuk akar.

Turunan Bentuk Akar Cara Golden
Turunan Bentuk Akar Cara Golden from artikeltop.xyz
Nah disini saya akan memberikan cara bagaimana mencari turunan dari bentuk akar. Jika kita tidak kenal dan tidak tahu cara mengerjakan suatu soal matematika bisa dipastikan soal tersebut tidak bisa kita jawab. Nah disini saya akan memberikan cara bagaimana mencari turunan dari bentuk akar. Baik itu di dalam ilmu matematika atau ilmu yang lainnya. Aug 30, 2020 · contoh soal turunan fungsi akar. Dec 27, 2020 · beberapa macam turunan yaitu turunan fungsi aljabar, turunan akar, turunan parsial, turunan implisit, dan yang lainnya. Berikut ini rumus untuk turunan fungsi trigonometri. Semoga dapat membantu kalian dalam belajar mengenai turunan.

Apakah anda pelajari turunan akar kuadrat?

Contoh soal limit pecahan akar kumpulan soal pelajaran 2. May 18, 2020 · rumus cepat mengerjakan limit tak hingga idschool. 3 cara untuk menurunkan akar kuadrat x wikihow. Dec 27, 2020 · beberapa macam turunan yaitu turunan fungsi aljabar, turunan akar, turunan parsial, turunan implisit, dan yang lainnya. Jika kita tidak kenal dan tidak tahu cara mengerjakan suatu soal matematika bisa dipastikan soal tersebut tidak bisa kita jawab. Berikut ini rumus untuk turunan fungsi trigonometri. Bagaimana cara menurunkan akar pangkat? Nah disini saya akan memberikan cara bagaimana mencari turunan dari bentuk akar. Nah, disini saya akan memberikan cara bagaimana mencari turunan dari bentuk akar. Mar 21, 2021 · turunan fungsi aljabar merupakan fungsi lain dari suatu fungsi sebelumnya, sebagai contoh fungsi f menjadi f' yang memiliki nilai tidak beraturan. 4 tentukan turunan dari fungsi fungsi berikut. Semoga dapat membantu kalian dalam belajar mengenai turunan. Bagaimana untuk mencari turunan dari fungsi akar?

Posting Komentar untuk "Contoh Turunan Akar - Soal Dan Pembahasan Turunan Fungsi Implisit 1 5 Istana Mengajar / Cara cepat menentukan akar kuadrat bilangan bulat."